Adenostemma Lavenia (L.) O. Kuntze Yaprağı Ekstraktında Ent-11 -hidroksi-15-okso-kaur-16-en-19-oik Asitin Yüksek İçeriği: Ön Vivo Testiyle
Mar 23, 2022
İletişim: Audrey Hu Whatsapp/hp: 0086 13880143964 E-posta:audrey.hu@wecistanche.com
Akie Hamamoto, Ryosuke Isogai, Miwa Maeda, Masumi Hayazaki, Eito Horiyama, Shigeo Takashima , Mamoru Koketsu ve Hiroshi Takemori *
Soyut:Arkaplan: Ent-11 -hidroksi-15-okso-Kaur-16-tr-19-oik asit(11 OH-KA) bazı eğrelti otlarında, Pteris semipinnata ve onun türdeş türlerinde bulunan çok işlevli bir biyokimyasaldır. 11 OH-KA'nın bir dizi terapötik uygulaması önerilmiş olsa da (örneğin, kansere karşı, iltihaplanmaya karşı vecilt beyazlatmak), bu eğrelti otlarındaki 11 OH-KA içeriği yüksek değildir. Adenostemma lavenia (L.)O. Bir Asteraceae olan Kuntze'nin de 11 OH-KA içerdiği bildirilmiştir. A. Lavenia'nın bütün bitkilerinin kaynatılması (sıcak su özütü), asepatit ve zatürree gibi iltihaplı rahatsızlıklar için bir halk ilacı olarak kullanılır ve bu, bu bitkinin tıbbi özelliklerinden 11 OH-KA'nın sorumlu bileşen olabileceğini düşündürür. Yöntemler: A'nın su ekstraktlarının anti-melanojenik aktiviteleri. Lavenia yaprağı ve Pteris dispar Kunze (P. semipinnata'nın aynı kökenli) yaprakları, fareB16F10 melanom hücrelerinde karşılaştırıldı. Miktarı11 OH-KAsıvı kromatografi spektrometrisi kullanılarak ölçüldü. C57BL/6J fareleri, A. Lavenia yaprağının su özü ile muamele edildi ve 11 OH-KA'nın kan konsantrasyonu ölçüldü. A. Lavenialeaf'in su ekstraktının in vivo etkinliği, saç rengi izlenerek anti-melanojenik aktivitesine göre değerlendirildi. Sonuçlar: Her iki ekstre (A. Lavenia ve P. dispar Kunze) yüksek anti-melanojenik aktiviteler gösterse de, sadece A. Lavenia kuru yaprak ağırlığının yaklaşık yüzde 2.5'i olan yüksek miktarda 11 OH-KA içermiştir.11 OH-KA A. Lavenia yapraklarından iki adımda saflaştırılabilir: su ekstraksiyonu ve ardından kloroform dağıtımı. Farelerin A. Lavenia yaprağının su ekstresi ile tedavisi, tüylerindeki pigmentasyonu bastırır. Sonuçlar: İncelenen az sayıda fareye rağmen, bastırılmış saç pigmentasyonunun mevcut ön sonucu, A. Lavenia yaprağının su ekstraktının ve muhtemelen bundan sorumlu olan bileşenin -11 OH-KA- oral kozmetikler için yeni malzemeler olduğunu düşündürmektedir. sonuçlar ayrıca, melazma gibi hiperpigmentasyon bozukluklarından mustarip hastaları tedavi etmek için fonksiyonel gıdaların ve yöntemlerin gelecekte geliştirilmesinde de yardımcı olabilir.
Anahtar Kelimeler: 11 -hidroksi-15-okso-kaur-16-tr-19-oik asit; anti-melanogenez; cilt beyazlatmak;fonksiyonel gıda; tıbbi bitki; Adenostemma Lavenia; Pteris dispar Kunze;tirozinaz; B16F10 melanom

Cistanche, tirozinaz aktivitesini inhibe eder
1. Giriş
için anti-melanojenik reaktifler üzerine çalışmalarcilt beyazlatmakve yaşlanmayı önleme, özellikle gıdalardaki bileşenler (meyveler, sebzeler ve tıbbi bitkiler) için daha sık hale geldi [1]. Bir dizi polifenol ve terpen ve bunların kaynakları, fonksiyonel gıdalar ve takviyeler olarak geliştirilmiş ve ticarileştirilmiştir.
Diterpen/kaurene ent-11 -hidroksi-15-okso-kaur-16-en-19-oik asit (11 OH-KA), eğrelti otlarının (Pteris semipinnata [2– 5], Pteris livida [6]) ve Compositae (Gochnatia decora [7]), ayrıca anti-melanojenik reaktifler [5] için çekici bir adaydır. Geniş fizyolojik aktivitelerine (örneğin, anti-kanser ve anti-inflamasyon) [8-11] rağmen, 11 OH-KA'nın in vivo etkinliği hakkında, muhtemelen nadir olması nedeniyle anti-melanojenik potansiyeli de dahil olmak üzere sadece birkaç kayıt vardır. ve sınırlı sayıda kaynak.
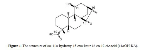
Hem in vitro hem de kültürlenmiş hücrelerde yapı-aktivite ilişkisi çalışmaları, 11 OH-KA'daki fonksiyonel aktivitelerini uygulamak için önemli olan temaları tanımlamıştır (Şekil 1). 19. sıradaki karboksi grubunun değiştirilmesi11 OH-KAmetil veya hidroksi grupları tarafından bu bileşiği yüksek anti-kanser aktiviteleri olan bir bileşiğe dönüştürür, bu da 19-karboksil grubunun bu bileşiğin hücresel toksisitesini zayıflattığını gösterir [5,10,12]. Buna karşılık, 16. konumdaki alken grubu, 15. konumdaki keton grubu ve 11. konumdaki hidroksi grubu, Kaspaz sinyal yolunu aktive ederek apoptotik aktiviteleri arttırır [10,12]. Ancak bu kısımlar, kaurenlerin hücre ölümü sinyalleri için vazgeçilmez değildir. Anti-inflamatuar aktivite için yapısal gereklilikler, anti-kanser aktivite için olanlara benzerdir ve nükleer faktör kappa B (NF-κB) gibi ortak hücresel hedefler yoluyla çapraz karışma olduğunu düşündürür [12].
tirozinazmelanin sentezinde hız sınırlayıcı bir enzimdir [13,14]. Enzim sıralı reaksiyonları katalize eder: tirozinin l-3,4-dihidroksifenilalanin, l-Dopa ve ardından dopakinona dönüştürülmesi. bastırılmasıyla sonuçlanırmelanogenezB16F10 fare melanom hücrelerinde [5]. 11 OH-KA'daki 11 -hidroksi,15-okso ve 16-en kısımları onun için vazgeçilmezdir.anti-melanogenezanti-kanser veya anti-inflamatuar aktiviteler gibi diğer aktivitelere kıyasla 11 OH-KA'nın yapısal gereksinimlerinin farklı bir özelliği olan aktivite.
Böylece, anti-melanojenik aktivitesi açısından, 11 OH-KA, kaurenler arasında benzersiz bir bileşiktir. Ne yazık ki, önceki kaynağımız olan Pteris dispar Kunze.11 OH-KA, bu bileşiğin yalnızca küçük bir miktarını içeriyordu [5] ve bu eğrelti otunun yanı sıra P. semipinnata (bir soy kökenli) [4,15], insan deneklerde kullanım kaydına sahip değildir. Ayrıca, tüm geçmiş deneylerde, sulu ekstraksiyon kullanımına dair herhangi bir kayıt olmaksızın 11 OH-KA'yı ekstrakte etmek için organik çözücüler (metil veya etilalkol, kloroform veya heksan) kullanıldı.
Yaklaşık 40 yıl önce bir Amerikan grubu, AdenostemmaLavenia (L.) O. Kuntze'de (bir Asteraceae) 11 OH-KA ve türevlerini keşfetti [16]. A. Lavenia, yapraklarda ve diğer kısımlarda olası kontaminantların (örneğin, inorganik kirleticiler [17] ve mantarlar tarafından üretilen ikincil metabolitler [18,19]) riskine ilişkin olarak yeterince çalışılmamış olmasına rağmen, bütün bitki tozu (Ma Zhi Hu olarak adlandırılır) Türkiye'de satılmaktadır. Amerika Birleşik Devletleri tıp doktorlarının izniyle (ürünler QualiHerb, Cerritos, CA, ABD'den temin edilebilir: Ek Malzemeler Şekil S1). Bu nedenle, bu çalışmada ölçülerek11 OH-KAiçeriği ve anti-melanojenik aktivitelerinin etkinliğini değerlendirerek, A. Lavenia yaprağının dahili kozmetiklerde kullanım için bir su ekstraktının potansiyelini ve ayrıca tedavi için kullanılabilecek yeni bir fonksiyonel gıdalar kategorisi [20-22] inceledik. melazma gibi hiperpigmentasyon bozuklukları olan hastalar. Bugüne kadar, hiperpigmentasyon bozuklukları için dahili bir ilaç olarak sadece traneksamik asit (hemostatik bir ilaç) mevcuttur [23,24].
Burada A. Lavenia yapraklarının yüksek seviyelerde (yaprakların kuru ağırlığının yaklaşık yüzde 2,5'i) 11 OH-KA içerdiğini bildiriyoruz. A. Lavenia yaprağının su özü, etkili bir şekilde bastırırmelanogenezinB16F10 hücreleri ve11 OH-KAsu özütünün anti-melanojenik aktivitelerinin yüzde 50'sinden sorumlu olabilir. Farelerin A. Lavenia yaprağının su özü ile oral tedavisi, tüy pigmentasyonunun baskılanmasına neden olur.

2. Malzemeler ve Yöntemler
2.1. A. lavenia'nın yayılması
A. lavenia, Japonya'nın çoğu bölgesinde nesli tükenmekte olan bir tür olarak listelendiğinden, bu bitkiyi laboratuvarımızın yakınındaki bir tarlada kültürledik. A. lavenia 10 fideden bölünerek çoğaltılmış ve bu çalışmada Haziran-Temmuz 2019 tarihleri arasında hasat edilen 100 gof kadar kuru yaprak kullanılmıştır.
2.2. 11 OH-KA'nın Su Ekstraktlarından Saflaştırılması ve Analizi
Saf 11 -OH KA (otantik), BioBioPha'dan (Şanghay, Çin) satın alındı. A. lavenia veya P. dispar Kunze'nin yapraklarından elde edilen kurutulmuş yaprak tozu (100 mg), 1 mL distile su içinde (10-hacim ekstraksiyonu için) 12 saat bekletildi ve kalıntılar 12 saat santrifüj edilerek uzaklaştırıldı, 000 rpm 10 dakika. Elde edilen özütler, yüzde 40 ila yüzde 40 arasında değişen bir gradyanla bir C18 ODS kolonu (4.6 mm × 50 mm: RP-18 GP, Kanto Kagaku, Tokyo, Japonya) kullanılarak yüksek performanslı (HP) sıvı kromatografisi (LC) ile analiz edildi. metanol/su ila yüzde 100 metanol 10 dakikada. 11 -OHKA saptaması, 245 nm'de (A245) ultraviyole (UV) absorpsiyonunun belirlenmesiyle gerçekleştirilmiştir. 20-,30- ve 50-hacim ekstraksiyonları için 50 mg, 33 mg ve 20 mg kuru yaprak tozu 1 mL distile su ile ekstrakte edildi.
A. lavenia'daki {{0}}OH KA'nın yapısını doğrulamak için, kaurenoik asit yarı büyük ölçekte saflaştırıldı. Toplam 100 g kurutulmuş A. lavenia yaprağı 20 hacim sudan iki kez ekstrakte edildi, yaprakların su ekstraktına eşdeğer hacimde CHCl3 ilave edildi ve CHCl3 fazından 11 -OH KA geri kazanıldı. Geri kazanılan CHCl3 fazının buharlaşması sırasında, 11 -OH KA beyaz kristaller halinde çökeltildi. Bu kristaller bir kağıt filtre ile geri kazanıldı. Geri kazanılan kristaller nükleer manyetik rezonans (NMR) (1H-NMR (CDCI3) δ 0.95 (3H, s), 1.28 (3H, s), 1.05–2.22 (15H, m), 2.37 (1H, d, J { {27}}.9 Hz), 3.06 (1H, geniş s), 4.06 (1H, d, J=4.6 Hz), 5.27 (1H, s)ve 5.87 (1H, s)). Kristalin 1H-NMR spektrumu, otantik 11 -OH KAspectrum ile çakıştı (bkz. Ek Malzemeler Şekil S2).
2.3. Fare Serumunda 11 OH-KA Analizi
Ultra-performanslı LC (UPLC)-kütle spektrometrisi (MS) analizleri için yöntemler [25,26]'da kullanılan çeşitli yöntemlerden alınmıştır. Kısaca, fareleri (C57BL/6J) tedavi etmek için A. lavenia yaprakları 30 hacim su ile ekstre edildi. 120 ◦C'de 20 dakika sterilizasyondan sonra ekstrakt 2 hacim su ile seyreltilerek içme suyu olarak kullanıldı. 11 -OHKA'nın farmakokinetiğini incelemek için, yüzde 1 Tween 80'de (Kanto Kagaku, Tokyo, Japonya) süspanse edilen 100 mg/kg bileşik ağızdan verildi. Uygulamadan 15-240 dakika sonra kuyruk damarından kan alındı.
Fare kanındaki {{0}}OH KA'yı ölçmek için serum (20 µL), 200 µL asetonitril ile özümlendi. Ekstraksiyon verimliliğini normalleştirmek için, ekstraksiyondan önce seruma 10 nmol 18 -glisiretinik asit (Kanto Kagaku) ilave edildi. Asetonitrilin buharlaştırılarak uzaklaştırılmasından sonra, bileşikler 5 uL metanol içinde çözüldü, ardından 5 uL H2O ilave edildi. Daha sonra, LC-MS spektrometrisi için 1 uLof solüsyon kullanıldı (MS: Waters Xevo G2-XS QTof, Waters, Milford, MA). 11 -OH KA'yı ayırmak için bir C18 ODS kolonu (3.0 mm) × 150 mm (5 µm): RP-18 GP, Kanto Kagaku) ve 10 dakikada yüzde 35 asetonitril/su ile yüzde 100 asetonitril arasında değişen bir gradyan uygulandı. MS koşulları aşağıdaki gibidir: kapiler (kV), 2.20; numune alma çekirdeği, 45; ekstraksiyon konisi, 4.0. MS/MS analizleri yoluyla 11 -OH KA fragmanlarını tespit edemediğimiz için (Ek Malzemeler Şekil S3A),11 -OH KA, kütle-yük oranı (m/ z) 0.01 Da yolu ile 331.1879 (Ek Malzemeler Şekil S3B). 11 -OH için aynı prosedür kullanılarak normal fare serumundan hazırlanmış olan yüzde 50 metanol/suya 11 -OH KA (0.1-3 uM nihai konsantrasyonda) eklenerek standart bir eğri hazırlandı. KA ekstraksiyonu. 18 -Glisiretinik asit, 11 -OH KA ölçümü için kullanılanla aynı koşullar altında LC-UV kullanılarak ölçüldü. Bu hayvan deneyleri, Gifu Üniversitesi Hayvan Deneyleri Komitesi (H30-041) tarafından onaylandı. Hayvan refahı gerekliliklerine uymak için minimum sayıda fare kullandık.
2.4. Melanogenez Testi
Amerikan Tipi Kültür Koleksiyonundan (RIKEN, Tsukuba, Japonya) fare B16F10 melanom hücreleri, Dulbecco'nun değiştirilmiş Eagle ortamında (DMEM-Yüksek glikoz (4.5 g/L d-glukoz), WAKO, Kyoto, Japonya) kültürlendi ve yüzde 10 ile desteklendi. fetal sığır serumu ve antibiyotikler. Hücreler, 37°C'de yüzde 5 CO2 ile nemlendirilmiş bir atmosferde inkübe edildi ve her iki günde bir yoluyla yeni kültür plakalarına aktarıldı.
Hücreler (2 x 105), bir 6-kuyu plakasına kaplandı ve indüksiyondan önce 12-16 saat inkübe edildi.melanogenez. Melanojenez, 48 saat boyunca A. laveniawater özütü veya 11 -OH KA ile birlikte 20 uM forskolin (Fsk) ile indüklendi. Melanin ölçümleri literatüre uygun olarak yapıldı [5]. Kısaca, hücreler iki kez fosfat tamponlu salin ile yıkandı ve 2 mL toplama tüplerinde geri kazanıldı, ardından 8000 rpm'de 1.5 dakika santrifüjlendi. Her hücre peleti 200 µL distile su içinde süspanse edildi ve protein içeriğinin ölçümü için 50 µL kullanıldı. Kalıntı 150 µL, 150 µL 2 M NaOH ile karıştırıldı ve ardından 45 °C'de 2 saat inkübasyonla parçalandı. Melanin, 2:1'lik bir kloroform-metanol karışımı ile özümlendi ve enspektrofotometre (Glomax Multi, Promega, Madison, WI, ABD) ile 405 nm'de ölçüldü. Hücre peletlerinin protein konsantrasyonu, bir Bradford reaktifi (Bio-Rad, Hercules, CA, ABD) kullanılarak belirlendi ve melanin içeriğinin normalleştirilmesi için kullanıldı.

cistanche özünün etkileri: melanini inhibe eder ve cildi beyazlatır
2.5. İstatistiksel analiz
İstatistiksel analiz, aynı deney sırasında veriler elde edildiğinde Student t-testi kullanılarak yapıldı. Deneyler farklı günlerde yapıldıysa veya numune sayısı sadece ikiyse istatistiksel analizleri kullanmadık.
3. Sonuçlar
3.1. A. Lavenia Yüksek Miktarda 11 OH-KA İçerir
Daha önce, 10 hacim kuru ağırlık (v/w) etanol ile hazırlanan P. disper Kunze yapraklarının etanol özütünün etkili bir şekilde inhibe ettiğini bildirmiştik.melanogenezB16F10 hücrelerinde, 1/1000 dilüsyondan sonra bile [5]. A. lavenia kurutulmuş yapraklarının su ekstraktlarının ve P. disper Kunze yapraklarının su ekstraktlarının etkinliğini karşılaştırmak için ekstraktları hazırladık (20 hacim su (v/w kuru yapraklar)) ve kültür ortamına birlikte ekledik. forskolin ile (melanogenez indükleyici - acAMP agonisti). Her iki özüt, themelanin içeriği görsel olarak değerlendirildiğinde 1/1000 seyreltmede bile melanin sentezini etkili bir şekilde inhibe etti (Şekil 2A). Melanin içeriği, NaOH ekstraksiyonundan sonra ölçüldü (Şekil 2B). 1/3000 seyreltmede, A. lavenia özütü, melanin içeriğini kontrole kıyasla (yalnızca Fsk) yüzde 69 oranında azalttı ve P. disper Kunze özütü, melanin içeriğini yüzde 41 oranında azalttı. 1/1000 seyreltmede, A. lavenia özütü melanin içeriğini tamamen azaltırken, P. disperKunze özütleri melanin içeriğini yüzde 60 oranında azalttı. Ekstraktlar 1/300 oranında seyreltildiğinde bu fark gözlenmedi.
LC-UV analizleri şunu gösterdi:11 OH-KAA. laveniawater özündeki ana bileşendi (Şekil 2C, solda). Buna karşılık, P olduğunda 11 OH-KA için net bir tepe tespit edilmedi. dispers Kunze özü analiz edildi (Şekil 2C, sağ). LC-MS analizleri, bir okla gösterilen pikin 11 OH-KA'ya karşılık geldiğini ileri sürdü (veriler gösterilmemiştir). Bu sonuçlar, 11 OH-KA'nın aşağıdakilerden sorumlu ana bileşen olabileceğini göstermektedir.melanogenezA. lavenia özünde inhibisyon, glikosile edilmiş formlar [5] gibi türevler ise P'de melanin inhibisyonuna tercihli olarak katkıda bulunabilir. Kunze özü dağıtın.

Sonra, arındırmaya çalıştık11 OH-KAdağıtım yoluyla. CHCl3, yukarıdaki A. lavenia su ekstraktından yüksek saflıkta (yüzde 87'den fazla) 11 OH-KA çıkarmayı başardı (Şekil 2D, sol). CHCl3 içindeki kristalize maddenin NMR analizlerinin spektrumları, otantik11 OH-KA'nınkilerle aynıydı (bkz. Malzemeler ve Yöntemler). Buna karşılık, P. disper Kunze su ekstraktından çok sayıda bilinmeyen bileşik ekstrakte edildi (Şekil 2D, sağ). LC analizlerinin bir özeti Şekil 2E'de gösterilmektedir, bu da A. lavenia'nın çekici bir 11 OH-KA kaynağı olduğunu göstermektedir.
3.2. A. lavenia'dan 11 OH-KA'nın Uygun Ekstraksiyonu
İnternette bulunan bilgilere göre A. lavenia'nın tüm kısımları (yaprak, gövde ve kök) Çin ve Tayvan'da bitkisel ilaç olarak kullanılmaktadır. A. lavenia'dan 11 OH-KA ekstraksiyonu için en iyi koşulları belirlemek için önce bitkinin hangi kısımlarının bu bileşikten zengin olduğunu inceledik. Su ekstraktları tek başına yapraklardan veya hava kısımlarından hazırlandı. bumelanogenezB16F10 hücreleri üzerindeki tahlil, hava kısımlarından (gövdeler ve yapraklar) hazırlanan özün, yalnızca yapraklardan hazırlanandan daha az anti-melanojenik aktiviteye sahip olduğunu gösterdi (Şekil 3A, sol). Bu, sapların (kuru ağırlığın yüzde 90'ından fazlasını oluşturan) daha az içerdiğini göstermektedir.11 OH-KALC-UV analizleri tarafından onaylandı (Şekil 3A, sağ).
Daha sonra, ekstraksiyon için kaç hacim su kullanılması gerektiğini inceledik. Görünüşe göre, az miktarda su (10-kat) zenginleşebilir11 OH-KA(Şekil 3B). 11 OH-KA'nın suda düşük çözünürlüğünün bu bileşiği kalıntılarda tutmaya yardımcı olabileceğini düşündük. 30 hacimden fazla su kullanıldığında suda maksimum 11 OH-KA geri kazanımı gözlemlendi (Şekil 3C). Bu nedenle, 11 OH-KA'nın sudaki maksimum geri kazanımı ve zenginleşmesi göz önüne alındığında, sonraki deneylerde 30 hacim su kullandık.
Çin ve Tayvan'da, A. lavenia, 11 OH-KA'nın termal stabilitesinin incelendiği sıcak suda ekstrakte edilir. Su ekstraktları 90 ◦C veya 120 ◦C'de 10 veya 20 dakika inkübe edildi ve 11 OH-KA içeriği LC-UV ile analiz edildi. Bu termal işlemler, muhtemelen denatüre proteinden oluşan büyük miktarda çökelti üretti. bu11 OH-KAÇözünür fraksiyondaki içerikler görünüşte arttı (Şekil 3D), bu da bu boyutlandırılmış malzemelerin çıkarılmasının bir sonucu olabilir.
3.2.1. OH-KA, A. Lavenia Su Ekstraktındaki B16F10 Hücrelerinde Anti-Melanojenik Aktiviteden Sorumlu Bileşiktir
1 g yaprak 30 hacim su içinde özütlendiğinde, 11 OH-KA içeriği yaklaşık 0,6 mg/mL (1,8 mM) olmuştur. katkısının derecesini belirlemek için11 OH-KAA. lavenia su ekstraktında anti-melanojenik aktivite için, B16F10 hücrelerinde otantik 11 OH-KA'nın farklı konsantrasyonları test edildi. Görsel inceleme (Şekil 4A) ve melanin içeriğinin ölçümü (Şekil 4B), anti-melanojenik aktivite açısından tek başına otantik 11 OH-KA ile aynı etkinliği gösteren su özütlerinin (Şekil 4A, üst set) ortaya çıkarmıştır (Şekil 4A, alt set) sadece yarım miktarda içeriyordu11 OH-KA. Bu sonuçlar, ekstrakttaki 11 OH-KA'nın, ekstraktın anti-melanojenik aktivitesinin neredeyse yüzde 50'sine katkıda bulunduğunu göstermektedir. Diğer yüzde 50, glikozit formları gibi 11 OH-KA türevlerinden türetilebilir, bu da P'deki düşük 11 OH-KA içeriğini açıklayabilir. Anti-melanojenik aktivite açısından yüksek etkinliğine rağmen Kunze ekstraktını dağıtın (Şekil 2).

cistanche özünün etkileri: yaşlanma karşıtı ve beyazlatıcı cilt
3.2.2. OH-KA, Farelerde Anti-Melanojenik Aktiviteden Sorumlu A. lavenia Ekstraktındaki Bileşiktir
A. lavenia'nın kozmetik için bir malzeme olarak gelecekteki gelişimi için ön sonuçlar elde etmek için az sayıda fare kullanarak in vivo analizler gerçekleştirdik. İlk önce farelerde 11 OH-KA'nın farmakokinetiğini inceledik. Vücut ağırlığı yaklaşık 25 g olan farelerde su alımı günde yaklaşık 4 mL olmuştur. A. lavenia'nın su ekstraktındaki 11 OH-KA'nın maksimum çözünürlüğü (bkz. Şekil 3C, 20–30 hacim su: 0.6 mg/mL) teorik olarak 100 mg/kg sağlayabilir. bukaurenoik asidin günlük dozu (4 mL 0.6 mg/mL 11 OH-KA, 2.4 mg/gün yapılmıştır; 2.4 mg'ın fare vücut ağırlığı (25 g) ile normalleştirilmesi 96 mg/kg ile sonuçlanmıştır). Bu nedenle, fareleri 100 mg/kg11 OH-KA (200 uL yüzde 1 Tween 80'de askıya alınmış) ile tedavi etmeye karar verdik.
Oral tedavi ile11 OH-KAkanda hızlı bir şekilde (15 dakika içinde) ortaya çıkmasına neden oldu(Şekil 5A). Konsantrasyon, B16F10 hücrelerinde etkili bir doza ulaştı ve bu dozu korudu. Bu sonuç, 11 OH-KA'nın sindirim sistemi yoluyla emilebileceğini gösterir. Bununla birlikte, konsantrasyonun 60 dakika içinde azalması, bu bileşiğin hızlı bir şekilde atıldığını göstermektedir.
Daha sonra, farelerde 11 OH-KA'nın kronik etkilerini inceledik. 0.6 mg/mL 11 OH-KA bile içme suyunda hızlı bir şekilde çökeldiğinden11 OH-KAsaftı, A. lavenia su özünü test etmeye karar verdik. Bununla birlikte, A. lavenia su özütü, acı bir tada sahip bilinmeyen bileşenler içerebilir. Bu nedenle, özütün iki hacim su ile daha fazla seyreltilmesi gerekiyordu (11 OH için 0.3 mg/mL nihai değerle) -KA, yaklaşık 50 mg/kg/gün). Fareler, 1 hafta boyunca su özleri ile tedavi edildi ve daha sonra kan örnekleri toplandı (Şekil 5B). LC-MS analizleri, kanda yarı etkili bir konsantrasyonda 11 OH-KA tespit etti. A. lavenia su ekstresi ile aynı prosedürle hazırlanmış olan P. dispar Kunze su ekstresi de incelenmiştir. P. dispar Kunze özütü ile tedavi edilen farelerin kanındaki 11 OH-KA içeriği, A. lavenia özü ile tedavi edilen farelerinkinden 10 kat daha düşüktü.
Yetişkin farelerde, saç büyümesi birkaç ay boyunca telojen aşamasında duraklar ve yeni büyüme (anagen) rastgele olarak farklı bölgelerde sadece birkaç gün içinde meydana gelir [27]. Bu nedenle, etkisini incelemek içinmelanogenezinhibitörler için, bileşiklerle (inhibitörler) tedavi süresi uzun olmalıdır (örneğin, birkaç ay). Buna karşılık, 3–4-haftalık (W) evrede, tüylü tüyler eş zamanlı olarak yetişkin tüyleriyle değiştirilir. Bu nedenle, 3W fareler 2 hafta boyunca inhibitörlerle tedavi edildiğinde,melanogenez5W–6W'de yeni çıkan saçın (yani ilk yetişkin saçın) pigmentasyonundan (rengi) değerlendirilebilir [28].
Fareler, iki hafta boyunca (3W–4W) içme suyu yoluyla A. lavenia özütü ile tedavi edildiğinde, yeni büyüyen tüylerde pigmentasyonları baskılanmıştır (Şekil 5C). Buna karşılık, göz pigmentasyonları etkilenmedi. P. dispar Kunze özütü ile tedavi edilen farelerde saç pigmentasyonunun baskılanması gözlemlenmedi. Bu sonuçlar, A. lavenia yaprağı ekstraktının, in vivo etkili olan muhtemelen 11 OH-KA gibi anti-melanojenik maddeler içerebileceğini, oysa P. dispar Kunze yaprağı özü, muhtemelen zengin11 OH-KAtürevleri, in vivo etkili olmayabilir.

cistanche faydası: anti-oksidasyon
4. Tartışma
A. lavenia yapraklarının yüksek miktarda 11 OH-KA (kuru yaprak ağırlığının yaklaşık yüzde 2,5'i) içerdiğini bulduk. Bu bileşiğin hidrofobik doğasına rağmen su, 11 OH-KA'yı verimli bir şekilde çıkardı. Sudaki 11 OH-KA 120 ◦C'de 20 dakika stabil olduğundan, A'nın su ekstraktını sterilize ettik. lavenia yaprağı ve farelere uygulandı. Sonuçlar varlığını doğruladı11 OH-KAthemice'nin kanında ve in vivo olarak anti-melanojenik bir reaktif olarak su özütünün gücü.
A. lavenia'da 11 OH-KA ve türevlerinin varlığı 1979 [16] ve 1990'da [29] rapor edilmiştir. O zamandan beri, Endonezya'dan sadece bir çalışma A. lavenia'daki [30] bileşenlerin kapsamlı bir analizini rapor etmiştir. Ancak bu malzemelerde 11 OH-KA tanımlanmamıştır. Ayrıca A. lavenia'dan saf su ile ekstrakte edilebilen 11 OH-KA'nın fiziksel özellikleri ile ilgili herhangi bir çalışmaya rastlanmamıştır.
Hindistan'daki halk ilaçları hakkında bir gözden geçirme makalesi, sindirim sistemi bozuklukları için bir tedavi olarak A. lavenia su özüne atıfta bulunmaktadır [31]. İnternette "A. lavenia" veya Çince adı için yapılan bir arama, bu bitkinin bir sıcak su özütü (yani kaynatma olarak) (örneğin, hepatit, akciğer iltihabı (alerji ve kronik obstrüktif) yoluyla anti-inflamatuar bir bitkisel ilaç olarak bazı yararlı kullanımlarını önerdi. akciğer hastalığı) ve cilt iltihabı). Ancak, PubMed'de A. lavenia ekstrelerinin biyolojik aktiviteleri veya bu bitkinin ekolojik durumu hakkında resmi bir rapor bulunamadı. İlimizde (Gifu, Japonya), A. lavenia, nesli tükenmekte olan bir tür olarak listelenmiştir. A. lavenia'nın nadir olması, bitkisel ilaç ve fonksiyonel gıda olarak potansiyelini analiz etmeyi ve geliştirmeyi zorlaştırabilir.
Öte yandan, faydalı potansiyel11 OH-KAP. semipinnata'dan saflaştırılmış, in vitro ve in vivo olarak belirlenmiştir [8-11]. P.semipinnata'daki 11 OH-KA'nın içeriğini incelememiş olsak da, bu içeriğin A. lavenia'dakine göre çok yüksek olmayabileceğini tahmin ediyoruz çünkü P. semipinnata, P. disper Kunze ile yakından ilişkilidir. Buna ek olarak, bufernlerin insan deneklerde, hatta internette kullanımına ilişkin hiçbir kayıt yoktur. Bu arka plan, 11 OH-KA'nın klinik potansiyele sahip olduğu gösterilirse, A. lavenia'nın bitkisel ilaç olarak bu eğrelti otlarından daha fazla potansiyele sahip olabileceğini düşündürmektedir.
potansiyeli üzerine çalışmalar11 OH-KAbir anti-kanser [2,10,11,32] ve anti-inflamatuar [11,33] ajan olarak faaliyetlerine odaklanmıştır. Bununla birlikte, bu aktiviteler için gerekli olan 11 OH-KA dozlarının 20 µM'den fazla olduğu da doğrudur ki bu nispeten yüksektir. Buna karşılık, 1 µM'den daha düşük bir konsantrasyonda, karboksil yerine 19-pozisyonunda bir metil grubuna sahip olan kaurene ent-11 -hidroksi-16-Karen-15-one 11 OH-KA'daki grup, insan HL-60 monositlerine karşı yüksek apoptotik aktivite gösterir [12]. Bu farklılıklar 19-pozisyonun hücresel toksisitenin bir belirleyicisi olabileceğini düşündürmektedir [5].
Çeşitli kaurenlerde anti-tümör ve anti-inflamatuar aktiviteler bulunmasına rağmen [7,34-36],11 OH-KA'nın spesifik özelliği bir tür anti-melanojenik aktivitedir [5]. Flavonoidler ve terpenoidler gibi bir dizi doğal bileşiğin modüle ettiği bulunmuştur.melanogenezmelanojenik programlar için gerekli olan mikroftalmi transkripsiyon faktörünün (MITF) ekspresyonunu değiştirerek [13,14]. Bu bileşiklerin aksine, kaurens veya kaurenoik asitlerde MITF modülatörleri bulunmamıştır.
11 OH-KAifadesini bastırır.tirozinazgeni promotör aktivitesini aşağı regüle ederek gen. İlginç bir şekilde, B16F10 hücrelerinde MITF'nin aşırı ekspresyonu, 11 OH-KA aracılı tirozinaz promotör aktivitesinin baskılanmasının iptali ile sonuçlanır, bu da 11 OH-KA'nın MITF-bağlama elemanına bilinmeyen bir baskılayıcı alabileceğini düşündürür. Ayrıca, 11 OH-KA'nın baskıladığı mekanizmatirozinazpromotör aktivitesi sitotoksisiteye yol açan aktiviteden farklı olabilir, çünkü anti-melanojenik aktivite, B16F10 hücreleri 1.2 uM 11 OH-KA ile tedavi edildiğinde bile gözlemlenir(Şekil 4).
Birincil keratinositler ve melanositlerden oluşan üç boyutlu bir insan cilt modelini içeren araştırmalar, 1 mM11 OH-KAcilt pigmentasyonunu tamamen bastırır [5]. Anti-melanojenik aktivite açısından, 1 mM 11 OH-KA, kurutulmuş A. Lavenia yaprağının yaklaşık 6.6 mg/mL'sine (yüzde 0.66) eşdeğerdir (Şekil 3). Bu bağlamda A. Lavenia, kozmetik ürünleri için çekici bir kaynaktır.cilt beyazlatmak. Ek olarak, A. Lavenia bir halk ilacı olarak kullanılır ve11 OH-KA, anti-melanojenik aktivite ve sitotoksisite için etkili dozları (konsantrasyonları) arasında geniş bir marja sahiptir.
Önemli olarak, traneksamik asidin (hemostatik bir ilaç) insan derisinde melanin birikimini baskıladığı ve melazmayı tedavi etmek için oral bir ilaç olarak kullanıldığı bulunmuştur [23,24]. İlginç bir şekilde, traneksamik asit ile tedavi edilen farelerin kürkü siyahtan kahverengiye dönüşmüştür [37]. Bu çalışmada ayrıca, A. Lavenia yaprağının su ekstraktının farelerde ağızdan verildiğinde saç pigmentasyonunu (siyahtan kahverengiye) etkili bir şekilde baskılayabildiğini gösterdik, bu da A. Lavenia yaprağının hem iç kozmetikler hem de fonksiyonel gıdalar olarak geliştirilebileceğini düşündürdü [20– 22] melazmadan muzdarip hastalar için. A. Lavenia ekstraktlarının hücresel hedefleri ile ilgili daha fazla çalışmaya ihtiyaç vardır ve11 OH-KA, hem de onların güvenliği.
cistanche tabletleriiçincilt beyazlatmak






